개요
이진 탐색 트리(Binary Search Tree, BST)는 모든 노드가 다음 조건을 만족해야 한다.
- 왼쪽 서브트리 노드의 key값은 자신의 노드 key값보다 작아야 한다.
- 오른쪽 서브트리 노드의 key값은 자신의 노드 key값보다 커야 한다.

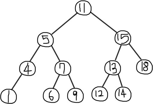
위의 BST를 중위 순회로 스캔하면 다음과 같이 노드의 key값을 오름차순으로 얻을 수 있다.
1 → 4 → 5 → 6 → 7 → 9 → 11 → 12 → 13 → 14 → 15 → 18
BST의 특징
- 구조가 단순하다.
- 중위 순회의 DFS를 통해 노드값을 오름차순으로 얻을 수 있다.
- 이진 탐색과 비슷한 방식으로 매우 빠른 검색이 가능하다.
- 노드를 삽입하기가 쉽다.
코드 구현
코드 전문은 Do it! 자료구조와 함께 배우는 알고리즘 입문 파이썬 편에서 확인할 수 있다.
class Node:
def __init__(self, key, value, left, right):
self.key = key
self.value = value
self.left = left
self.right = right
class BinarySearchTree:
def __init__(self):
self.root = None
def search(self, key):
p = self.root
while True:
if p is None:
return None
if key == p.key:
return p.value
elif key < p.key:
p = p.left
else:
p = p.right
def add(self, key, value):
def add_node(node, key, value):
if key == node.key:
return False
elif key < node.key:
if node.left is None:
node.left = Node(key, value, None, None)
else:
add_node(node.left, key, value)
else:
if node.right is None:
node.right = Node(key, value, None, None)
else:
add_node(node.right, key, value)
return True
if self.root is None:
self.root = Node(key, value, None, None)
return True
else:
return add_node(self.root, key, value)
def remove(self, key):
p = self.root
parent = None
is_left_child = True
while True:
if p is None:
return False
if key == p.key:
break
else:
parent = p
if key < p.key:
is_left_child = True
p = p.left
else:
is_left_child = False
p = p.right
if p.left is None:
if p is self.root:
self.root = p.right
elif is_left_child:
parent.left = p.right
else:
parent.right = p.right
elif p.right is None:
if p is self.root:
self.root = p.left
elif is_left_child:
parent.left = p.left
else:
parent.right = p.left
else:
parent = p
left = p.left
is_left_child = True
while left.right is not None:
parent = left
left = left.right
is_left_child = False
p.key = left.key
p.value = left.value
if is_left_child:
parent.left = left.left
else:
parent.right = left.left
return True
def dump(self, reverse = False):
def print_subtree(node):
if node is not None:
print_subtree(node.left)
print(f"{node.key} {node.value}")
print_subtree(node.right)
def print_subtree_rev(node):
if node is not None:
print_subtree(node.right)
print(f"{node.key} {node.value}")
print_subtree(node.left)
if reverse:
print_subtree_rev(self.root)
else:
print_subtree(self.root)
def min_key(self):
if self.root is None:
return None
p = self.root
while p.left is not None:
p = p.left
return p.key
def max_key(self):
if self.root is None:
return None
p = self.root
while p.right is not None:
p = p.right
return p.key'CS > Python' 카테고리의 다른 글
| 파이썬으로 다익스트라 알고리즘 구현하기 (0) | 2025.03.31 |
|---|---|
| 파이썬으로 트리 순회 구현하기 (0) | 2025.03.27 |
| 파이썬으로 분할 정복을 이용한 정렬 구현하기 (0) | 2025.03.25 |
| 파이썬으로 큐 구현하기 (0) | 2025.03.25 |
| 파이썬으로 스택 구현하기 (0) | 2025.03.25 |