문제 링크
https://www.acmicpc.net/problem/18352
문제
어떤 나라에는 1번부터 N번까지의 도시와 M개의 단방향 도로가 존재한다. 모든 도로의 거리는 1이다.
이 때 특정한 도시 X로부터 출발하여 도달할 수 있는 모든 도시 중에서, 최단 거리가 정확히 K인 모든 도시들의 번호를 출력하는 프로그램을 작성하시오. 또한 출발 도시 X에서 출발 도시 X로 가는 최단 거리는 항상 0이라고 가정한다.
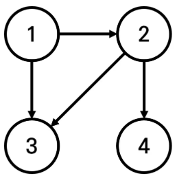
예를 들어 N=4, K=2, X=1일 때 다음과 같이 그래프가 구성되어 있다고 가정하자.

이 때 1번 도시에서 출발하여 도달할 수 있는 도시 중에서, 최단 거리가 2인 도시는 4번 도시 뿐이다. 2번과 3번 도시의 경우, 최단 거리가 1이기 때문에 출력하지 않는다.
- 입력
첫째 줄에 도시의 개수 N, 도로의 개수 M, 거리 정보 K, 출발 도시의 번호 X가 주어진다. (2 ≤ N ≤ 300,000, 1 ≤ M ≤ 1,000,000, 1 ≤ K ≤ 300,000, 1 ≤ X ≤ N) 둘째 줄부터 M개의 줄에 걸쳐서 두 개의 자연수 A, B가 공백을 기준으로 구분되어 주어진다. 이는 A번 도시에서 B번 도시로 이동하는 단방향 도로가 존재한다는 의미다. (1 ≤ A, B ≤ N) 단, A와 B는 서로 다른 자연수이다. - 출력
X로부터 출발하여 도달할 수 있는 도시 중에서, 최단 거리가 K인 모든 도시의 번호를 한 줄에 하나씩 오름차순으로 출력한다. 이 때 도달할 수 있는 도시 중에서, 최단 거리가 K인 도시가 하나도 존재하지 않으면 -1을 출력한다.
| 예제 입력 | 예제 출력 |
| 4 4 2 1 1 2 1 3 2 3 2 4 |
4 |
코드
import sys
input = sys.stdin.readline
import heapq
n, m, k, x = map(int, input().split())
adj = dict()
for i in range(1, n+1):
adj[i] = list()
for _ in range(m):
a, b = map(int, input().split())
adj[a].append((b, 1))
dist = [float("inf")] * (n+1)
def dij(s):
queue = list()
heapq.heappush(queue, (0, s))
dist[s] = 0
while queue:
now_dist, now = heapq.heappop(queue)
if dist[now] < now_dist:
continue
for a, b in adj[now]:
if now_dist + b < dist[a]:
dist[a] = now_dist + b
heapq.heappush(queue, (now_dist + b, a))
dij(x)
answer = list()
for i in range(1, n+1):
if dist[i] == k:
answer.append(i)
if not answer:
print(-1)
else:
answer.sort()
for i in answer:
print(i)'PS > 백준' 카테고리의 다른 글
| [백준] (7576) 토마토 [Python] (0) | 2025.03.30 |
|---|---|
| [백준] (2665) 미로 만들기 [Python] (0) | 2025.03.30 |
| [백준] (1916) 최소비용 구하기 [Python] (0) | 2025.03.29 |
| [백준] (2178) 미로 탐색 [Python] (0) | 2025.03.29 |
| [백준] (5639) 이진 검색 트리 [Python] (0) | 2025.03.28 |